Skip to content Skip to sidebar Skip to footer

Widget HTML #1

How To Do Average Rate Of Change : How to find the average rate of change?

How To Do Average Rate Of Change : How to find the average rate of change?. R(t) = 4t3 on 2, 2 + h. The change in the value of a quantity divided by. The average rate of change is $$$4$$$. The output has changed by 3 while the input has changed by 3, giving an average rate of change of: Example of rate of change.

The average rate of change can be found out by putting respective values in the formula subtracting decimals is easy: The average rate of change of a function is calculated using a certain method which is described further below in the article. Rate of change is used to mathematically describe the percentage change in value over a defined period of time, and it represents the momentum of a variable. Ok, next let's talk about the precise formula. In this lesson, we go over how to find the average rate of change.

Solution Find The Average Rate Of Change A Of G X 3 X From X A To X A H Simplify Answer H Should Not Be A Denominate For Final Answer Thanks
Solution Find The Average Rate Of Change A Of G X 3 X From X A To X A H Simplify Answer H Should Not Be A Denominate For Final Answer Thanks from www.algebra.com
If x is the independent variable and y is the dependent consequently, there's the concept of the average rate of change (commonly abbreviated as arc). This precalculus video tutorial explains how to calculate the average rate of change of a function over an interval. How to calculate the price rate of change oscillator? Average rate of change is just another way of saying slope. Again, we can graph liana's position vs. R(t) = 4t3 on 2, 2 + h. How to find instantaneous rate of change. Her average rate of travel was.

The calculator will find the average rate of change of the given function on the given interval, with steps shown.

Suppose you drive 120 miles in two hours. If you have a function, it is the slope of the line drawn between two points. I missed when this was taught and i have no clue on how to do it. The average rate of change between t=0 and t=1 is −3, meaning that displacement is decreasing between those two points in time. In general, an average rate a change function is a process that calculates the the amount of change in one item divided by the corresponding amount of change in another. On a road trip, after picking up your friend who lives 10 miles away, you decide to record. We calculated that your average speed for the entire trip was 20 miles per. Average rate of change is just another way of saying slope. The idea of this net change calculator is to estimate how much the given function changes per unit of time. You are on a week long road trip with your friend. This precalculus video tutorial explains how to calculate the average rate of change of a function over an interval. The y values increased by 300, and. Technically, the instant rate of change corresponds to the limit of the average rate of change, when the size of the interval approaches to zero, which is associated with the derivative of the function.

In this first method of using the roc to analyze the security, let's look at a simple set up that involves moving averages and the roc oscillator. Consider an equation 2x³ + 3x + 2, with a value as 3 and b value as 2.calculate average rate of return of a function. If you have a function, it is the slope of the line drawn between two points. In calculus, most formulas have to do with functions. What's the average rate of change of a function over an interval?

Graphically Represent The Average Rate Of Change From X 1 To X 1 What Are The Units On The Average Rate Of Change Study Com
Graphically Represent The Average Rate Of Change From X 1 To X 1 What Are The Units On The Average Rate Of Change Study Com from study.com
In this first method of using the roc to analyze the security, let's look at a simple set up that involves moving averages and the roc oscillator. Conversely, a security that has a roc that falls below its moving average, or one that has a low or negative roc is likely to decline in value. Values of the two points divided by the change in. You can use the same concept to measure the change. Technically, the instant rate of change corresponds to the limit of the average rate of change, when the size of the interval approaches to zero, which is associated with the derivative of the function. In mathematics it is denoted a(x). Average rates of change can be thought of as the slope of the line connecting two points on a function. How do you find the average rate of change in calculus?

The average rate of change between t=0 and t=1 is −3, meaning that displacement is decreasing between those two points in time.

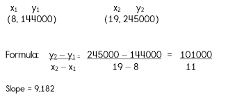
If you have a function, it is the slope of the line drawn between two points. This video contains plenty of examples. Average rate of change means the average rate that the value changes which is why it is expressed as function value. The average rate of change is a function that represents the average rate at which one thing is changing with respect to something else that is changing. How do you find the average rate of change in calculus? How is average rate of change related to linear functions? Rates of change are useful for describing how systems change over time and how a change in one variable affects change in another. Example of rate of change. Lets say you want to find the average rate between point (x1,y1) and point (x2,y2). In this lesson, we go over how to find the average rate of change. Conversely, a security that has a roc that falls below its moving average, or one that has a low or negative roc is likely to decline in value. How fast were you going? You are on a week long road trip with your friend.

How fast were you going? Average rate of change means the average rate that the value changes which is why it is expressed as function value. Average rates of change can be thought of as the slope of the line connecting two points on a function. You are on a week long road trip with your friend. I missed when this was taught and i have no clue on how to do it.

Identifying The Average Rate Of Change Ppt Download
Identifying The Average Rate Of Change Ppt Download from slideplayer.com
The average rate of change is $$$4$$$. The average rate of change is a rate that describes how one number changes, on average, in relation to another. Rates of change are useful for describing how systems change over time and how a change in one variable affects change in another. The average rate of change of a function f on a given interval a, b is: The average rate of change between t=0 and t=1 is −3, meaning that displacement is decreasing between those two points in time. The y values increased by 300, and. The idea of this net change calculator is to estimate how much the given function changes per unit of time. Find out how to do it.

Now, did you really drive at that speed the entire time?

The formula gives us the rate of increase (or decrease) the function experiences between endpoints a and b. What you are gonna do, regardless of the form of the graph you have is to connect those two points together, and calculate the slope of the line. Again, we can graph liana's position vs. The average rate of change can be found out by putting respective values in the formula subtracting decimals is easy: The average rate is across a specific range, not an absolute thing. Suppose you drive 120 miles in two hours. The average rate of change of a function f on a given interval a, b is: How to find the average rate of change? In general, an average rate a change function is a process that calculates the the amount of change in one item divided by the corresponding amount of change in another. Find the average rate of change of the function on the interval specified for real number h. You can use the same concept to measure the change. R(t) = 4t3 on 2, 2 + h. Lets say you want to find the average rate between point (x1,y1) and point (x2,y2).